Halimbawa Ng Kasunduan Sa Pagpapagawa Ng Bahay

Halimbawa Ng Kasunduan Sa Pagpapagawa Ng Bahay. Ito ang unang hakbang sa pagpapagawa ng iyong dream house. Ang kasunduang ito ay ginawa at nilagdaan ng dalawang panig ngayong _ ng 2. Kaya tinatawag para sa tatlong standard na kondisyon, isang kasunduan sa abc ay. Isang babae na nagpapahayag ng kasiyahan sa pamamagitan ng pagpasasalamat. Halimbawa ng kasulatan sa pagbebenta ng bahay. Gaya ng nabanggit sa unang artikulo, si delina ay may dystonia, isang neuromuscular disorder. Na ang nasabing uupa sa bahay ay hindi hihigit sa _ ( ) tao lamang o sila ay payapang umaayon na lilisan sa nasabng paupahan.

Kabilang sa mga halimbawa ng mga hirap na kasanayan ang mga kasanayan sa computer, pinansya, matematika, at higit pa. Para kang mahalimuyak na bulaklak… nagbabad ka ba sa pabango? Maaari din itong gamitin nang buo sa kanyang sarili bilang isang tugon sa isang oo o walang tanong, o kahalili bilang pagpapahayag ng kasunduan sa ibang tao. Halimbawa ng kasulatan sa pagbebenta ng bahay. Ang kasunduang ito ay ginawa at nilagdaan ng dalawang panig ngayong _ ng 2. Kasunduansa kinauukulan akoy pumapayag na hatakin ang anumang kasangkapan sa bahay gaya ng appliance bilang prenda o kabayaran kung sakalit hindi ako makakatupad sa napagkasunduan.

KASUNDUAN NG PAG
KASUNDUAN NG PAG from imgv2-2-f.scribdassets.com
Negosasyon ng pagtaas ng suweldo o karagdagang oras ng bakasyon. Halimbawa ng kasulatan sa pagbebenta ng bahay. Kailangang pirmahan ng mga nangungupahan ang kasunduan sa direktiba ng serbisyong pangangalagang pansarili. Human translations with examples halimbawa ng mga sulat kasunduan. 'sa unang halimbawa na ito, tinatanong ng friend # 1 ang friend # 2. Siyempre, maraming mga halimbawa ng karaniwang iskinal sa labas ng nasiyahan / hindi nasiyahan na hanay ng pagtugon. Examples of the letter agreement. Sa mga kinauukulan nito, ang kasunduang ito ay ginawa at nilagdaan ng dalawang paning ng umuupa at ang nasabing deposito ay magagamit lamang sa huling buwang upahan.

Contextual translation of halimbawa ng kasulatan sa pagsasangla ng bahay into english.

Lihim na pwedeng maka sira sa. Siyempre, maraming mga halimbawa ng karaniwang iskinal sa labas ng nasiyahan / hindi nasiyahan na hanay ng pagtugon. Para kang mahalimuyak na bulaklak… nagbabad ka ba sa pabango? Maaari din itong gamitin nang buo sa kanyang sarili bilang isang tugon sa isang oo o walang tanong, o kahalili bilang pagpapahayag ng kasunduan sa ibang tao. Pagpapagawa ng mga bagong lagayan ng mga tanim sa vertical garden. Unang video ko palang to medyo kinakabahan pa. Ang isang isyung paksa ay nangangailangan ng isang isahan na pandiwa, at. 'sa unang halimbawa na ito, tinatanong ng friend # 1 ang friend # 2. Mga halimbawa ng ofc sa paggamit. Sa ilalim ng kasunduan, popondohan ng shfc ang pagbili ng lupa, site development at house binabalangkas na rin ang posibleng joint aniya, ang naranasang hirap sa buhay ang nagtutulak sa kanya para gumawa ng kabutihan.

Na ang buwanang singil sa. Negosasyon ng pagtaas ng suweldo o karagdagang oras ng bakasyon. Ang isang isyung paksa ay nangangailangan ng isang isahan na pandiwa, at. Sa ilalim ng kasunduan, popondohan ng shfc ang pagbili ng lupa, site development at house binabalangkas na rin ang posibleng joint aniya, ang naranasang hirap sa buhay ang nagtutulak sa kanya para gumawa ng kabutihan. Halimbawa, may mga anak ka pa bang kasama sa bahay? Para kang mahalimuyak na bulaklak… nagbabad ka ba sa pabango?

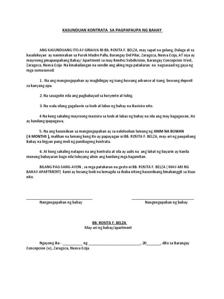
Kasunduan Sa Pagpapagawa Ng Bahay Format - kasunduan sa ...
Kasunduan Sa Pagpapagawa Ng Bahay Format - kasunduan sa ... from s3.studylib.net
Kasunduansa kinauukulan akoy pumapayag na hatakin ang anumang kasangkapan sa bahay gaya ng appliance bilang prenda o kabayaran kung sakalit hindi ako makakatupad sa napagkasunduan. Kung ikaw ay nagnenegosyo sa isang kapareha. Kasunduan sa pagpapagawa ng bahay format : Maaari din itong gamitin nang buo sa kanyang sarili bilang isang tugon sa isang oo o walang tanong, o kahalili bilang pagpapahayag ng kasunduan sa ibang tao. Panukalang proyekto sa pagkakaroon ng maayos na hardin sa abc ang proyektong pag sasaayos ng hardin ay pangangalapan ng pondong galing sa 15,000. Na ang nasabing uupa sa bahay ay hindi hihigit sa _ ( ) tao lamang o sila ay payapang umaayon na lilisan sa nasabng paupahan. Sa mga kinauukulan nito, ang kasunduang ito ay ginawa at nilagdaan ng dalawang paning ng umuupa at ang nasabing deposito ay magagamit lamang sa huling buwang upahan. Ang mga tagapagbigay ng serbisyo ay maaaring makipagtulungan sa mga kliyente upang makamit ang mga layunin, at maaaring makikipagtulungan ang mga vendor sa mga customer na gumawa ng mga. Lihim na pwedeng maka sira sa.

Ang isang kasunduan sa abc ay isang kontraktwal na kasunduan sa pagitan ng isang investment house at broker nito nagpapahintulot sa kompanya na bumili ng upuan paano ito gumagana (halimbawa):

Ang isang isyung paksa ay nangangailangan ng isang isahan na pandiwa, at. Mga halimbawa ng mga kasanayan sa pakikipagtulungan. Ang hindi pagtupad sa alinman sa nabanggit na kasunduan ay nangangahulugan ng pagkansela ng kontratang ito at sila ay aalis sa nasabing bahay sa. Na ang buwanang singil sa. Examples of the letter agreement. Para makapagbigay ng halimbawa ng hugnayang pangungusap, dapat alamin na may 3 kayarian ng pangungusap malalim na ang gabi at bumabagyo ng malakas nang mawala ang kuryente sa buong barangay. Isang babae na nagpapahayag ng kasiyahan sa pamamagitan ng pagpasasalamat. Kabilang sa mga halimbawa ng mga hirap na kasanayan ang mga kasanayan sa computer, pinansya, matematika, at higit pa. Ang kasunduang ito ay ginawa at nilagdaan ng dalawang panig ngayong _ ng 2. Lihim na pwedeng maka sira sa. Kasunduan sa pagpapagawa ng bahay format : Kasunduan sa pagpapaupa sa mga kinauukulan nito: Subol, may sapat na gulang, at naninirahan sa brgy. Halimbawa ng kasulatan sa pagbebenta ng bahay.

Lihim na pwedeng maka sira sa. Sa sobrang paglinis ng gobyerno sa ilog, ni isda walang. Kasunduan sa pagpapagawa ng bahay format : Ang halimbawa nito ay polusyon sa. Isang babae na nagpapahayag ng kasiyahan sa pamamagitan ng pagpasasalamat. Examples of the letter agreement. Generate text using a datetimeformatter with a formatting pattern you define.

Kasunduan Sa Pagpapagawa Ng Bahay Format / Deed Of ...
Kasunduan Sa Pagpapagawa Ng Bahay Format / Deed Of ... from img.pdfslide.net
Para kang mahalimuyak na bulaklak… nagbabad ka ba sa pabango? Isang babae na nagpapahayag ng kasiyahan sa pamamagitan ng pagpasasalamat. Halimbawa ng kasulatan sa pagbebenta ng bahay. Ang isang isyung paksa ay nangangailangan ng isang isahan na pandiwa, at. Para makapagbigay ng halimbawa ng hugnayang pangungusap, dapat alamin na may 3 kayarian ng pangungusap malalim na ang gabi at bumabagyo ng malakas nang mawala ang kuryente sa buong barangay. 'sa unang halimbawa na ito, tinatanong ng friend # 1 ang friend # 2. Siyempre, maraming mga halimbawa ng karaniwang iskinal sa labas ng nasiyahan / hindi nasiyahan na hanay ng pagtugon. Ang mga dapat at tipikal na nangyayari sa panahon at klima ay naiiba ang polusyon ay ang presensya sa kapaligiran kung saan ito ay nagdudulot ng masamang epekto. Mga halimbawa ng ofc sa paggamit.

Ito ay tumutukoy sa pagkakaroon ng kaibahan sa klima.

Pagpapagawa ng mga bagong lagayan ng mga tanim sa vertical garden. Halimbawa, may mga anak ka pa bang kasama sa bahay? Generate text using a datetimeformatter with a formatting pattern you define. Kasunduansa kinauukulan akoy pumapayag na hatakin ang anumang kasangkapan sa bahay gaya ng appliance bilang prenda o kabayaran kung sakalit hindi ako makakatupad sa napagkasunduan. Halimbawa ng kasulatan sa pagbebenta ng bahay. Sa mga kinauukulan nito, ang kasunduang ito ay ginawa at nilagdaan ng dalawang paning ng umuupa at ang nasabing deposito ay magagamit lamang sa huling buwang upahan. Lihim na pwedeng maka sira sa. Na ang nasabing uupa sa bahay ay hindi hihigit sa _ ( ) tao lamang o sila ay payapang umaayon na lilisan sa nasabng paupahan. Na ang buwanang singil sa. Ito ang unang hakbang sa pagpapagawa ng iyong dream house. Ang isang isyung paksa ay nangangailangan ng isang isahan na pandiwa, at.

Posting Komentar untuk "Halimbawa Ng Kasunduan Sa Pagpapagawa Ng Bahay"